И вроде бы производители блоков питания также не отстают, предлагая подходящие по мощности устройства. Но если получится так, что заявляемые параметры БП существуют только на бумаге, то самый «навороченный» ПК становится бесполезной грудой железа. Способны ли предлагаемые блоки питания удовлетворить растущие аппетиты процессоров и видеоплат? Вооружившись необходимым измерительным оборудованием и спецификацией ATX, мы протестировали пять популярных моделей.

Delta Electronics GPS-650AB-A

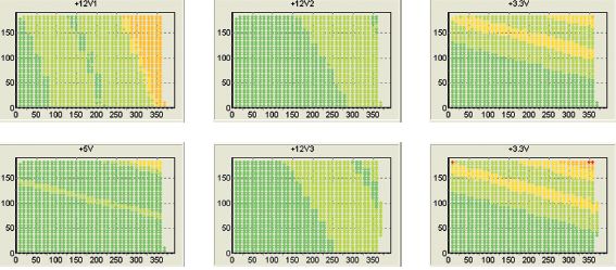
На тестовые испытания эта модель поступила к нам без упаковки и какой-либо сопроводительной документации.

В процессе построения цветовых диаграмм из шести попыток половина окончилась прерыванием теста из-за отключения БП при мощности, близкой к максимальной. Остальные измерения были проведены до конца.

При плавном увеличении нагрузки канала +3,3 В (нагрузка на остальные каналы отсутствовала) БП отключался на токе 12,5—13 А, а напряжение на нагрузке перед этим составляло 2,7—2,8 В. Существенно ниже номинала падало также напряжение +5 В. Отклонения по 12-вольтовым каналам оставались в пределах нормы. При попытке резкого увеличения нагрузки от 0 до 8 А БП также отключался.

Подавая нагрузку на канал +5 В, удавалось довести ток в нем до 23—24 А при напряжении 4,1 В; величина отклонения составляла 15%. Остальные напряжения были в норме. Но нагрузить канал до этого тока удавалось лишь плавным, по 1 А, повышением нагрузки. При резком увеличении тока с 0 до 15 А БП отключался.

Напряжение +12 В(1) выдержало испытание максимальным током, удавалось даже сразу установить 16 А с нуля, а вот резкий сброс тока с 16 А до нуля привел опять же к отключению БП.

Напряжение +12 В(2) вело себя аналогично, только отключения при сбросе нагрузки зафиксировано не было.

Таким образом, БП отслеживает существенную асимметрию нагрузки и считает, что если тока по линии –12 В нет, то нагрузка неисправна. Ради любопытства была предпринята попытка нагрузить канал +3,3 В при половинной нагрузке по другим каналам, и эта попытка удалась: напряжение на нагрузке составило 3,23 В, что соответствует отклонению 2,2%.

Напряжение канала 12 В(3), как удалось выяснить в процессе экспериментов, подается на разъем видеокарты (2×4).

Во второй серии тестов это напряжение было подключено к стенду вместо +12 В(2). При этом во время построения цветовой диаграммы обнаружилась одна особенность: отклонение от напряжения 3,3 В достигает предела в 5% при максимальной нагрузке.

HIPER HPU-4M630-PE

Этот блок питания, как и полагается, комплектуется документацией, переходниками питания, дополнительными переходниками/размножителями и крепежом. При автоматизированных испытаниях БП отключался, дойдя примерно до середины теста. Момент отключения совпал с достижением низковольтными каналами примерно половинной нагрузки (ток около 11,5 А) и уменьшением тока в высоковольтных каналах до нуля. Это говорит не о неисправности устройства, а лишь о том, что в него встроена защита от исчезновения 12-вольтовой нагрузки.

При измерениях вручную БП отключался при попытке нагрузить канал +3,3 В током менее 3 А, а напряжение на канале при токе около 2 А составляло 2,4 В.

Напряжение холостого хода канала 5 В находится явно вне пределов допустимого — всего 4,15 В, тогда как остальные каналы демонстрируют напряжение в пределах номинала. При этом нагрузить канал +5 В током даже 1 А в условиях снятой с остальных каналов нагрузки оказалось невозможным — моментально срабатывала защита и БП отключался.

Все четыре 12-вольтовых канала удается нагрузить сразу максимальным током (поочередно), при снятии нагрузки происходит отключение БП. Измерения выполнялись в два этапа: на первом — 1-й и 2-й 12-вольтовые каналы, на втором — 3-й и 4-й; последние были подключены вместо +12 В(1) и +12 В(2) соответственно. При полной нагрузке БП, как и в предыдущем случае, протестировать не удалось из-за того, что количество его 12-вольтовых каналов превысило возможности стенда.

На цветовых диаграммах напряжение +5 В при малой нагрузке на +12 В отображается белым цветом (к сожалению, на бумаге это плохо видно), то есть отклонение от номинала составляет более 5%.

FSP Group Everest 80Plus

В документации на БП приводятся не только максимальные, но и минимальные значения токов, которые соответствуют 0,8 А для напряжения 3,3 В, 0,5 для +5 В и по 1 А для каждого из четырех 12-вольтовых каналов. Зато ограничений на максимальную мощность для отдельных каналов оказалось меньше, чем у конкурентов. В частности, только с 12-вольтовых каналов можно снять полную мощность блока питания. К сожалению, в документации не указано, как именно эти каналы распределены по внешним разъемам.

Дополнительные кабели у этого БП не являются размножителями имеющихся, и подключаются непосредственно к разъемам на его стенке. Минимальный (неотключаемый) комплект не содержит разъемов для дисковых накопителей. Вместо одного 24-контактного разъема используется два: 20- и 4-контактный, совместно подключаемые к 24-контактному гнезду системной платы. Кабелей в комплекте поставки меньше, чем разъемов на передней стенке БП: после подключения всех еще остается по одному свободному гнезду каждого типа: 2×2 (для IDE HDD), 2×3 (для SATA HDD) и 2×4 (для видеокарты).

Источник питания имеет защиту от нагрузки ниже минимально допустимой и отказался включаться в режиме холостого хода, а потому снять его характеристики на имеющемся оборудовании не удалось.

HIPER HPU-3S525

Согласно документации у этого БП имеется единственный канал +12 В с большим максимальным током – 29 А. Однако измерения показали, что на самом деле каналов два, о чем свидетельствует существенное различие цветовых диаграмм этих каналов. Один из каналов снабжает электроэнергией системную плату (через основной разъем) и все дисковые накопители, а второй — только дополнительный 12-вольтовый разъем 2×2.

У этого БП не разделена по каналам нагрузка +12 В, все 29 А можно снять с одного разъема. По всей видимости, между каналами установлены диоды.

Присутствуют существенные ограничения на суммарную мощность низко- и высоковольтных каналов, на что программа, обслуживающая стенд, не рассчитана. Поэтому, чтобы не превышать предельную мощность стенда, пришлось искусственно ограничить мощность по низковольтным каналам значением 227 Вт.

Во второй серии тестов нагрузка была равномерно распределена по каналам — по 15 А, а мощность низковольтных каналов пришлось ограничить 215 Вт.

При попытке нагрузить канал +3,3 В БП отключился, когда ток не достиг еще 3 А, напряжение при этом было 2,6 В. Линию +5 В удалось нагрузить максимальным для стенда током 30 А, хотя в качестве предельной величины заявлены 36 А. Правда, при этом за пределы допустимого вышли напряжения не только на нагруженном канале, но и на обеих линиях +12 В. При снятии нагрузки БП отключился.

Напряжение на линии +12 В можно подавать сразу. Интересно, что после мгновенного снятия нагрузки 15 А с канала +12 В БП не отключается. Это происходит лишь после снятия нагрузки током 29 А.

OCZ PC Power Silencer 610 EPS12V

У этой модели также официально не разделены 12-вольтовые каналы, хотя максимальный ток здесь может достигать 49 А. Как выяснилось в процессе измерений, БП содержит три канала напряжением +12 В: первый подключен к разъемам дисковых накопителей, второй — к разъемам 2×2 и 2×3, а третий — к разъему 2×4.

Чтобы не перегрузить БП (не превысить максимальную мощность), нам пришлось ограничить ток в каждой из линий +12 В величиной 16 А.

Кроме того, отклонения напряжений от номиналов для низковольтных источников зависят от того, какой из высоковольтных каналов был нагружен. Лучше оказались результаты при нагрузке 12-вольтового канала, питающего дисководы.

При плавном увеличении нагрузки в канале +3,3 В ток нагрузки удалось довести до номинала (правда, напряжение при этом явно вышло за допустимые пределы). При резкой подаче половины номинального тока происходит отключение. При снятии нагрузки отключения не зафиксировано.

Канал +5 В вел себя практически аналогично, только отклонение при максимальном токе было меньше (хотя также выходило за пределы допустимого диапазона) и при снятии нагрузки произошло отключение БП.

Нагрузить 12-вольтовые каналы мы смогли только током 30 А — предельным для используемого измерительного стенда. Никаких неожиданностей при этом не обнаружилось: напряжения оставались в пределах нормы, БП выдерживал резкое увеличение нагрузки и неизменно выключался при ее снятии.

В процессе измерений не все БП смогли обеспечить уровень напряжений в пределах нормы во всем диапазоне выходных мощностей. Кроме того, у одного из блоков устойчиво срабатывала защита от асимметричной нагрузки, что не позволило построить цветовые диаграммы в полном объеме, а один блок питания отказался включаться на холостом ходу (точнее, отключался через доли секунды после включения). И то и другое следует считать нормой. Время отклика сигнала у всех рассмотренных БП находилось в пределах от 290 до 360 мс, что полностью укладывается в диапазон значений, рекомендуемый спецификацией ATX (от 100 до 500 мс).

Как мы тестировали

Для проведения тестов был использован прибор PSU-Test-950W.

Испытательный стенд позволяет выполнять измерения как в автоматическом, так и в ручном режиме. В автоматическом режиме стенд строит цветовые карты (диаграммы), которые разработчики прибора не совсем верно называют кросс-нагрузочными характеристиками. Согласно спецификации ATX кросс-нагрузочная характеристика строится в осях: абсцисса — суммарная мощность по каналам +12 В, ордината — суммарная мощность по каналам +3,3 В и +5 В. При этом сама характеристика представляет собой замкнутую область, в которой БП обязан выдавать напряжения в пределах установленных допусков. За границами этой зоны работоспособность БП не гарантируется.

Примечательно, что в область, охватываемую кросс-нагрузочной характеристикой, не входит работа на холостом ходу, т.е. при нулевых токах. Обычно минимальные токи по каналам должны быть в пределах 0,3—1,0 А. Программное обеспечение стенда всегда начинает цикл измерения на холостом ходу, и установка минимальных значений токов по каналам у него не предусмотрена. Большинство БП могут работать и в таком режиме, но не все. В частности, БП FSP Group Everest 80Plus, краткое описание которого есть в «Мире ПК», № 5/08, с. 85, наотрез отказался включаться в отсутствие нагрузки, что следует считать не недостатком, а дополнительной степенью защиты. Кроме того, БП HPU-4M630 не позволил полностью провести построение диаграмм в автоматическом режиме именно из-за выхода за пределы кросс-нагрузочной характеристики (вблизи оси ординат) в процессе измерений.

Цветовые диаграммы строились для всех каналов +12 В. Большинство производителей не указывают распределения разъемов по каналам, а некоторые даже не сообщают о количестве имеющихся 12-вольтовых каналов. Поэтому такую информацию пришлось добывать экспериментально, путем сравнения цветовых диаграмм, получаемых при подключении к стенду различных разъемов.

Цвета на диаграмме соответствуют следующим значениям отклонения напряжения на нагрузке от номинала: зеленый — 1%, салатовый — 2, желтый — 3, оранжевый — 4, красный — 5, белый — более 5%.

Кроме автоматического для построения цветовых диаграмм при проведении тестов активно использовался также ручной режим. Измерения проводились в условиях максимальной нагрузки каждого из каналов и холостого хода остальных, а также равномерной нагрузки всех каналов половинным значением тока и максимальной выходной мощности (дополнительные материалы на pcworld.ru). Результаты, полученные в таком режиме, содержатся в таблицах.

Следует отметить, что разработчики стенда внимательно отнеслись к нашим вопросам и оказали посильную помощь в работе со стендом.

Аппетиты растут: от 8080 до Pentium 4

Практически с момента создания ПК определился набор необходимых для них питающих напряжений: широко используемый в 8-разрядных компьютерах микропроцессор Intel 8080 (в частности, на нем был собран первый промышленный ПК Altair 8800) требовал трех напряжений питания: +5 В, +12 В и –5 В, а последовательный порт традиционно питался напряжениями +12 В и –12 В. Блок питания компьютера IBM PC обеспечивал именно этот набор напряжений, имея выходную мощность 63,5 Вт.

Напряжение +5 В традиционно использовалось как основное для питания всех цифровых схем, двигатели дисководов и накопителей на жестких дисках потребляли энергию от источника +12 В, а отрицательные напряжения имели малую выходную мощность и использовались отдельными узлами, в частности некоторыми устройствами, подключаемыми по шине ISA (процессор Intel 8088 уже обходился единственным питающим напряжением +5 В).

Такой набор напряжений долго оставался актуальным. Даже первые модели процессора Pentium (имевшие тактовые частоты 60—66 МГц) питались напряжением +5 В. Однако рост тактовых частот и лавинообразное увеличение тока, потребляемого процессорами, заставили перейти на более низкие напряжения. Например, старшие модели Intel 486 и второе поколение Pentium с тактовыми частотами 75—200 МГц требовали питающего напряжения 3,3 В. Именно ко времени их выпуска относится разработка нового формфактора ATX на корпуса и блоки питания. Так, в стандарте появилось пятое питающее напряжение: +3,3 В.

Очень скоро, уже с появлением следующей модели процессора — Pentium MMX, этого набора напряжений хватать перестало, — новый процессор требовал источника питающего напряжения номиналом 2,8 В. Дальше — больше: чуть ли не каждое новое поколение процессоров требовало уменьшения величины питающего напряжения. Более того, в пределах одного поколения стали выпускать процессоры с различным номинальным напряжением.

С одной стороны, стандартизация блоков питания явно не поспевала за аппетитами «процессоростроителей», а с другой — на все возможные номиналы отдельных каналов не напасешься, тем более что речь идет о токах в десятки ампер. Единственный разумный путь, по которому и пошла компьютерная промышленность, — поставить на системной плате преобразователь напряжения, обеспечивающий процессор нужным ему напряжением питания, используя одно из стандартных.

Первоначально в качестве источника для преобразования использовалось напряжение +5 В, так как именно этот канал обладал наибольшей выходной мощностью, ведь традиционно от него питались самые энергоемкие узлы вычислительной системы. Несколько позднее конструкторы сообразили, что отбирать большую мощность от низковольтного источника не совсем разумно: если для питания преобразователя использовать 12 В, входной ток будет в 2,5 раза меньше, а следовательно, во столько же раз меньшие будут потери в подводящих проводниках. Правда, на стандартном разъеме питания ATX напряжение 12 В подается лишь по одному контакту (для сравнения: +5 В — четыре контакта, +3,3 В — три контакта), поэтому пришлось добавить еще один разъем 2×2 с напряжением +12 В специально для питания преобразователя. Рост потребляемой процессорами и видеоплатами мощности потребовал увеличения числа 12-вольтовых каналов. Согласно спецификации ATX12V 2.0, их количество должно быть таким, чтобы на один канал приходилось не более 18 А, в диапазоне мощностей от 250 до 400 Вт рекомендуются два. На практике же нередко выпускаются устройства с тремя-четырьмя высоковольтными каналами.


Общие характеристики блоков питания

Нагрузочные характеристики блока питания Delta Electronics GPS-650AB A

Нагрузочные характеристики блока питания HIPER HPU-4M630-PE

Нагрузочные характеристики блока питания HIPER HPU-3S525

Нагрузочные характеристики блока питания PC Power Silencer 610 EPS12V