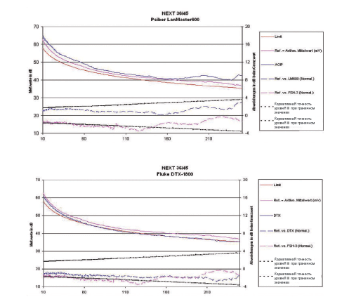
Результаты измерений и ошибка Lanmaster 600 и DTX-1800.