Ответ на него не так прост, как может показаться. При использовании радиооборудования вне помещений необходим расчет, порядок которого рассматривается в данной статье. При развертывании беспроводных сетей в помещениях расчет сложен и, главное, не нужен, поскольку гарантируемые производителем значения дальностей для помещений обеспечиваются практически всегда.
Что нужно понимать
Во-первых. Практически все радиооборудование беспроводных сетей, поступающее в Россию, работает в диапазоне частот 2,4–2,4835 ГГц, что соответствует длине волны 12,5 см. Такие волны распространяются вдоль прямой линии, соединяющей антенны и называемой линией визирования. Однако основная доля энергии волны сосредоточена не на линии визирования, а в некоторой области пространства, именуемой эллипсоидом Френеля, с радиусом, определяемым по формуле
![]() |
где н» длина волны в метрах, а смысл остальных переменных, также выраженных в метрах, ясен из рис. 1.
![]() |
Из этого следует, что препятствия не должны закрывать не только линию визирования, но и эллипсоид Френеля. На практике допускается небольшое, в пределах 20%, перекрытие препятствиями поперечного сечения эллипсоида.
Не следует забывать, что Земля круглая. Поэтому даже в степи, при абсолютно ровной поверхности, чтобы обеспечить прямую видимость, антенны требуется поднимать выше.
Во-вторых. Необходимо обеспечить такие значения параметров радиолинии, чтобы мощность полезного сигнала на входе приемника была равна или немного превышала значение реальной чувствительности приемника. Если это условие не выполняется, связи не будет. Если превышение слишком большое, увеличивается риск создания помех другим радиосредствам, работающим в том же диапазоне.
И в-третьих. Практически все расчеты в радиотехнике ведутся в децибелах. Для перевода в децибелы необходимо взять десятичный логарифм числа и умножить его на 10. Например, 106 будет равно 60 дБ, а 10-3 соответствует -30 дБ. Преимущества использования этой единицы измерения состоят в том, что вместо умножения исходных чисел достаточно сложить значения в децибелах, а для деления – вычесть из делимого делитель, также выраженные в децибелах. Кроме того, нет необходимости писать большое количество нулей или использовать показатели степени. И еще одна тонкость. Часто можно встретить не просто дБ, а например дБм, дБи и др. Буквы после дБ означают ту единицу, по отношению к которой берется децибел. Так, дБм – это децибел к милливатту, т.е. исходное значение в милливаттах необходимо разделить на 1 мВт и уже после этого вычислить значение в дБ. Это делается для того, чтобы избавиться от размерности и помнить, к какой единице измерения привязаны переменные.
Что нужно знать
Для расчета мощности полезного сигнала на входе приемника необходимо знать энергетические параметры радиолинии и реальную чувствительность приемника.
Мощность полезного сигнала в точке приема определяется выражением
Рпрд Gпрд Gпрм н»2
Pпрм= _____________
(4о?r)2 Lдоп Z
Это же выражение в децибелах имеет вид
В этих выражениях используются следующие параметры радиолинии.Рпрм = Рпрд + Gпрд + Gпрм + 20lgн» - 20lg(4о?) - 20lg(r) - Lдоп - Z
Pпрд – выходная мощность передатчика. Оборудование беспроводных сетей обычно имеет выходную мощность от 8 до 20 дБм.
Gпрд и Gпрм – коэффициенты усиления передающей и приемной антенн. Какую антенну назначить передающей, а какую приемной – разницы нет. Коэффициенты усиления типовых антенн беспроводных сетей имеют значения от 2 до 24 дБи, т.е. децибел по отношению к коэффициенту усиления изотропной антенны, равномерно излучающей во всех направлениях с единичным усилением (0 дБ). Иногда производители не сообщают значения рассмотренных параметров, а указывают значение эквивалентной изотропно излучаемой мощности (ЭИИМ) – Equivalent Isotropic Radiated Power (EIRP). ЭИИМ есть произведение мощности передатчика на коэффициент усиления передающей антенны PпрдGпрд или сумма этих величин в децибелах.
н» – длина волны. В рассматриваемых системах равна 0,125 м.
r – дальность передачи.
Lдоп – дополнительные потери, обусловленные целым комплексом причин, включая ослабление сигнала в соединительных разюемах, потери из-за несовпадения поляризации антенн и т.п. В рассматриваемых радиолиниях обычно полагают Lдоп = 10 дБ.
Z – запас помехоустойчивости к внешним помехам, величина которого определяется электромагнитной обстановкой в районе, где «прокладывается» радиолиния, и, как правило, задается в пределах от 5 до 15 дБ.
Кроме того, при использовании внешних антенн, подключаемых к радиооборудованию с помощью коаксиальных кабелей, необходимо знать длину кабелей и величину погонного затухания в них, выражаемого в дБ/м. Результирующее затухание в кабелях добавляется к величине Lдоп.
Реальную чувствительность приемника обозначают как Pmin, что соответствует физическому смыслу данного показателя, определяющего минимально необходимую для нормального приема мощность полезного сигнала на входе приемника. Величина этого параметра для приемников беспроводных сетей лежит в пределах от -94 до -67 дБм. Следует иметь в виду, что с увеличением скорости передачи реальная чувствительность ухудшается (численное значение Pmin возрастает).
Что нужно сделать
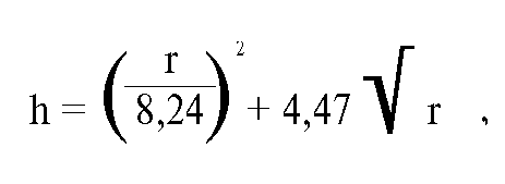
Во-первых. Рассчитать высоту подвеса антенн. Для ориентировочной оценки на ровном рельефе при одинаковой высоте антенн можно использовать простую формулу, учитывающую сферичность Земли и размеры эллипсоида Френеля. Высота подвеса антенн в метрах равна
![]() |
Когда одна антенна находится на уровне поверхности Земли, коэффициент 8,24 в формуле надо заменить на 4,12.
Если на трассе между антеннами есть неровности, необходимо построить профиль трассы с учетом сферичности Земли. Делается это так. По величине требуемой дальности r с помощью графика (рис. 2) определяется величина подюема Земли в центре трассы и на лист бумаги наносятся три точки: с нулевой высотой на концах трассы и с высотой, полученной по графику, в центре трассы. Через эти точки строится дуга окружности, являющаяся уровнем моря для построения трассы. На эту дугу в выбранном масштабе переносятся с топографической карты точки уровней высот. Полученные точки соединяются отрезками прямой, в результате получается профиль трассы, подобный изображенному на рис.1.
![]() |
После этого на профиль наносятся точки подвеса антенн. Суть операции – провести линию визирования таким образом, чтобы построенный относительно нее эллипсоид Френеля не пересекал неровностей рельефа, а лишь касался их. Техника выполнения этой операции произвольная. В частности, можно заранее рассчитать радиус эллипсоида Френеля, построить на бумаге его нижнюю часть, вырезать ее и, приложив к построенному профилю, найти требуемые высоты подвеса антенн. Естественно, если расчет трасс приходится проводить часто, можно потратить время на написание программы и автоматизировать процесс.
А как быть, если на трассе имеется, допустим, гора и антенны из-за этого необходимо поднимать на высоту Останкинской телебашни? Естественно, поставить на горе ретранслятор и рассчитывать две трассы – до ретранслятора и после него. Так же следует поступить и при протяженности трассы более 50 км. На этом расчет трассы заканчивается. Выбранные высоты установки антенн обеспечивают условия распространения радиоволн, близкие к условиям распространения радиоволн в свободном пространстве, что дает возможность пользоваться достаточно простой методикой расчета. Следует подчеркнуть, что антенны необходимо устанавливать на такой высоте не для того, чтобы можно было применять простую методику, а чтобы с помощью маломощной радиолинии обеспечить передачу на значительные расстояния.
Во-вторых. Рассчитать энергетические параметры радиолинии. Смысл расчета сводится к тому, чтобы найти такие значения параметров радиолинии, при которых мощность полезного сигнала на входе приемника будет не меньше значения реальной чувствительности приемника
Рпрм Б?? Рмин
Можно делать это с помощью приведенной выше формулы, можно воспользоваться электронным калькулятором производителя оборудования, но, на наш взгляд, удобнее применять простую методику, разработанную в компании Diamond Communications. Результаты будут получены одни и те же, поскольку в основе всех подходов – одна и та же расчетная зависимость.
Порядок расчета следующий. Для выбранной конфигурации радиолинии и оборудования по формуле из табл. 1 рассчитывается значение усиления и по графику (рис. 3) определяется значение дальности. Запас помехоустойчивости Z выбирается в пределах 5–15 дБ. Значения остальных параметров следует брать из технической документации. Для наиболее распространенного в России оборудования они приведены в табл. 2–5.
![]() |
Преимущества методики расчета компании Diamond Communications, на наш взгляд, состоят в простоте и наглядности. Сосчитайте в уме значение усиления, определите по графику значение дальности, и сразу поймете, достаточно ли этого усиления, а если нет, сколько децибел надо добавить. Как? Используя антенны с большим коэффициентом усиления и/или дополнительные усилители.
Вы наверняка уже просчитали какую-то конкретную радиолинию. Набрали требуемое усиление? Если да – радиолиния будет работать. Если нет, даже с усилителями, – скорее всего, вы выбрали маломощный усилитель или антенны с малым коэффициентом усиления. Увеличьте их. Энергетики рассматриваемого оборудования должно хватать для передачи на расстояния до 50 км.
ОБ АВТОРАХ
фрий Писарев, к.т.н., доцент (yuri@diamond.ru) и Павел Соловьев (pavel@diamond.ru) – сотрудники компании Diamond Communications.Таблица 1.
| Вариант радиолинии | Формула для расчета Y |
| Cо штатными антеннами без усилителей | Pпрд + Gпрд + Gпрм - Pпрм - Z |
| C внешними антеннами без усилителей | Pпрд - Jпрд + Gпрд + Gпрм - Jпрм - Pпрм - Z |
| C внешними антеннами и передающими усилителями | Pус + Gпрд + Gпрм - Jпрм - Pпрм - Z |
| C внешними антеннами и приемными усилителями | Pпрд - Jпрд + Gпрд + Gпрм - Pпрм - Z (при Kпрм > Jпрм) |
| C внешними антеннами и приемопередающими усилителями | Pус + Gпрд + Gпрм - Pпрм - Z (при Kпрм > Jпрм) |
Таблица 2.
| Аппаратура | Скорость, Мбит/с | Pпрд, дБм | Gпрд, Gпрм, дБи (штатные антенны) | Pпрм, дБм |
| Aironet | 4 | 20 | 2,15 | -75 |
| 2 | 20 | 2,15 | -80 | |
| 1 | 20 | 2,15 | -85 | |
| WaveLAN | 2 | 15 | 2,5 | -81 |
| WaveLAN 802.11 | 2 | 15 | 2 | -88 |
| 1 | 15 | 2 | -92 | |
| BreezeNET | 3 | 17 или 20 | 2 | -75 |
| 2 | 17 или 20 | 2 | -81 | |
| 1 | 17 или 20 | 2 | -89 | |
| BreezeLINK | 3 | 15 | - | -75 |
| 2 | 15 | - | -81 | |
| 1 | 15 | - | -89 |
Таблица 3.
Таблица 5.
| Таблица 4.
| |||||||||||||||||||||||||||||||||||||||||||||||||||||||||||||||




