Современное предприятие использует в своей деятельности различные ИТ-технологии, это средства коммуникаций, аналитические и учетные системы, системы управления и др.
Современное предприятие использует в своей деятельности различные ИТ-технологии, это средства коммуникаций, аналитические и учетные системы, системы управления и др. Все эти технологии нуждаются в постоянной поддержке, которую поручают ИТ-подразделению предприятия.
Эффективность поддержки напрямую зависит от качества управления специалистами, входящими в службу поддержки, а для этого нужно уметь оценивать трудозатраты каждого специалиста.
Создание службы поддержки
ИТ-служба любого предприятия рано или поздно приходит к необходимости организовать автоматизированную службу поддержки пользователей ИТ-услуг предприятия (Service Desk), при которой учет заявок на обслуживание и их статус ведется с помощью специализированного программного обеспечения.
В службу поддержки входят следующие блоки: диспетчер службы (оператор), специалисты службы, управляющий менеджер службы. В ITIL/ITSM служба поддержки реализует процесс «управление инцидентами» (ITIL). Его образуют функции: прием и регистрация инцидента, первоначальная классификация и поддержка, исследование и диагностика, решение и восстановление, закрытие инцидента.
За выполнение первых двух этапов отвечает диспетчер службы Service Desk. Третий и четвертый этапы возложены на специалистов службы. И, наконец, пятый этап возложен на диспетчера службы, Допускается, что решение о закрытии инцидента принимает управляющий менеджер службы. В его обязанности входит анализ работы ИТ-инфраструктуры предприятия, основанный на данных об инцидентах. Часто это бывает поиск «узких» мест действующей системы (например, ненадежное оборудование, слабая подготовка пользователей, устаревший парк техники).

Мы на нашем предприятии (машиностроительный завод «РЭЛТЕК») не ставили себе задачу организовать ИТ-отдел в точном соответствии с рекомендациями библиотеки ITIL. В задачи нашего Service Desk вместе с процессом «управление инцидентами» входит и «управление проблемами», но, возможно, не в том объеме, который предусмотрен библиотекой ITIL. Обычно специалистов Service Desk в зависимости от их квалификации, навыков и других параметров группируют в несколько линий поддержки. Эта мера позволяет разгрузить более квалифицированных специалистов, а значит, сократить затраты на поддержку системы. Эти линии могут быть последовательными (эшелоны по уровню квалификации специалистов) или параллельными, когда каждая линия отвечает за свою услугу или круг задач (например, группа обслуживания ERP-системы, системы биллинга).
Зачем нужна служба поддержки
Выделение в ИТ-подразделении службы Service Desk дает следующие преимущества. Появляется единая точка входа заявок пользователей, где выполняется классификация заявок по уровню сложности, поддерживаемой услуге и т. д. Заявки больше не теряются бесследно, и отчеты по их выполнению позволяют накапливать опыт ИТ-специалистов.
Для оценки производительности работы Service Desk необходимо введение измеримых показателей. Например, общее количество инцидентов за период, среднее время разрешения инцидента, процент инцидентов, обработанных за время, указанное в соглашении об уровне обслуживания, процент инцидентов, разрешенных первой линией Service Desk без эскалации, количество инцидентов, разрешенных удаленно, без визита к пользователю, количество инцидентов на одного работника Service Desk, среднюю стоимость инцидента. Среднюю стоимость инцидента можно считать по-разному, например, как величину заработка специалиста, закрывшего заявку, или как стоимость потерь бизнеса из-за возникшего инцидента.
Служба поддержки позволяет руководителю видеть загруженность специалистов, их задачи. Дает возможность эффективно управлять специалистами, наглядно видя суть задач, их приоритеты, а не раздавая «подзатыльники» сотрудникам. Специалисты видят задачи, назначенные им, пользователи видят статус своих заявок.
Методика количественной оценки
В задачи управляющего менеджера входит не только анализ работы ИТ-инфраструктуры по данным Service Desk, но и оценка деятельности его сотрудников. Количественный анализ позволяет выделять лидеров, например, с целью их поощрения и мотивирования других сотрудников к повышению качества и эффективности труда.
Оцифрованная оценка качества и эффективности труда может использоваться не только для мотивирования, но и напрямую для расчета зарплаты специалиста Service Desk, скажем с помощью коэффициента трудового участия.
Необходимая нормативная база для получения такой оценки может быть сформирована на основе классификатора инцидентов. Например, ремонт и наладка оборудования, обслуживание СКС, обслуживание АТС, обслуживание КИС, обслуживание «1С:Предприятие», администрирование доменов Microsoft, администрирование и наладка офисного программного обеспечения и т. д.
Каждый регистр классификатора включает в себя подмножество задач и стоимость решения этих задач в баллах (см. таблицу).
|
| Таблица. Пример классификатора инцидентов |
На первый взгляд может показаться, что сложно (и даже невозможно) описать все возникающие перед специалистами задачи. Но практика показывает, что все задачи со временем будут классифицированы. Этим занимается диспетчер: при возникновении инцидента он ищет его описание в классификаторе, если его там нет, то добавляет новый элемент классификатора. Добавление и описание нового элемента классификатора согласуется с управляющим менеджером и специалистами службы поддержки. Всем элементам классификатора присваивается выраженная в баллах оценка сложности решения. Чем выше сложность работы по разрешению инцидента, тем выше балл. Также можно оценивать сложность работ в рублях, исходя из цен на рынке услуг аутсорсинговых компаний, предварительно помножив эти цифры на определенный коэффициент. Например, стоимость установки ОС Windows на ПК пользователя силами внешнего специалиста равна 500 руб. Считаем, что штатный специалист оплачивается с коэффициентом 0,5, то есть установка штатным специалистом будет стоить 250 руб.
Как правило, фонд зарплаты специалистов службы поддержки нужно распределять пропорционально выполненным объемам работ. Если при распределении фонда зарплаты учитывается квалификация специалиста, выполнившего работу, то при расчете компенсационного пакета нужно для каждого специалиста использовать коэффициент, численно характеризующий его квалификацию.
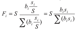
Пусть в службе поддержки работает n специалистов; bi — количество баллов, заработанных i-ым специалистом; si— сумма, предусмотренная в фонде зарплаты на i-го специалиста, предназначенная для распределения в соответствии с коэффициентом трудового участия (эта сумма и характеризует квалификацию конкретного специалиста). Если же есть просто фонд S (без указания части каждого специалиста), то si=S/n
Составим функцию распределения фонда зарплаты между специалистами, она должна учитывать коэффициент трудового участия специалиста, который зависит от количества заработанных им баллов, и его квалификацию.

Если все специалисты имеют одинаковую квалификацию, то есть имеют одинаковые оклады, то

Учитывать квалификацию при расчете коэффициента трудового участия мы были вынуждены по следующей причине. Изначально на нашем предприятии была окладная система. Когда были введены баллы, то получалось, что квалифицированным специалистам пришлось работать больше, чем менее квалифицированным, чтобы сохранить величину заработка. Можно было бы загрузить квалифицированных специалистов заданиями адекватной сложности, но работы, требующей высокой квалификации, не так много, а держать в штате квалифицированных специалистов необходимо. Поэтому приходится за одну работу разным специалистам платить разные деньги.
Отметим, что функция распределения зарплаты не учитывает календарную неравномерность объемов работ, когда суммарное количество баллов, заработанное всеми специалистами в одном месяце, может быть больше, чем в другом. Другими словами, объем работ в текущем месяце не заложен в функцию распределения зарплаты. Функция выражает в денежном эквиваленте трудовое участие специалиста (с учетом коэффициента его квалификации) в сравнении с другими специалистами службы поддержки за один определенный интервал времени. Чтобы учитывать календарную неравномерность при расчете заработной платы, то есть компенсировать специалистам увеличение суммарных объемов работ, нужно иметь премиальный фонд, который также будет распределяться между специалистами в соответствии с заработанными баллами.
На практике финансовые службы часто неохотно идут на выделение премий сотрудникам. Для компенсации календарной неравномерности объема работ можно по согласованию с руководством внутри подразделения сформировать собственный «стабилизационный фонд». Процесс его формирования может быть следующим. Величина фонда заработной платы подразделения планируется исходя из среднемесячного объема работ (по данным на конец истекшего финансового года). Если в текущем месяце работы было меньше, то пропорционально уменьшается фактически распределяемая величина фонда заработной платы, а оставшиеся средства перемещаются в «стабилизационный фонд». Например, если суммарный объем работ составил 0,7 среднемесячного, то 0,3 величины фонда заработной платы передается в «стабилизационный фонд». Если же объем месячных работ превышал среднюю величину, то некоторая его часть распределяется в соответствии с набранными баллами. На нашем предприятии этот фонд контролирует финансовая служба, она записывает в резерв отдела определенную сумму, переходящую из месяца в месяц. Когда начальник отдела распределяет зарплату, то он может добавить (или убавить) нужную сумму из резерва отдела. Только после этого финансовый отдел передает данные в бухгалтерию, а затем бухгалтерия начисляет зарплату.
Польза количественных оценок
Первое: при наличии количественных оценок трудозатрат специалисты мотивированы на регистрацию заявок, в противном случае заявки проходят мимо диспетчера, когда сотрудник предприятия звонит в трудном случае знакомому специалисту ИТ-службы. Это дает возможность руководителю быть в курсе всех инцидентов, видеть их историю. Отчеты службы поддержки учитывают все работы по инцидентам, отсюда более точный анализ «узких» мест ИТ-инфраструктуры.
Второе: у специалистов возникает естественное желание выполнять работы, имеющие более высокий вес (балл). Для этого они повышают свою квалификацию. Однако нужно следить за тем, чтобы специалисты выполняли не только дорогую (по количеству баллов) работу, но и дешевую. Поэтому диспетчер равномерно распределяет работы между специалистами и если специалист хочет больше заработать, то он делает назначенную работу быстрее. У руководителя появляется управленческий рычаг: если какое-то направление не получает должного интереса со стороны специалистов, то он повышает вес работы по инцидентам этого направления. В частности, таким образом можно управлять качеством обслуживания той или иной ИТ-услуги.
И, наконец, ИТ руководитель, начнет задумываться, перед тем как отдать распоряжение о проведении работ, ведь за выполнение распоряжения придется платить. А значит, меньше ненужных, необдуманных распоряжений.
События на заводе «РЭЛТЕК»
В начале моей работы служба поддержки на предприятии было организована слабо. Нельзя сказать, что она отсутствовала совсем: в том или ином виде она присутствует всегда. Сотрудники ИТ-отдела были сильно «расслаблены». Они все время были чем-то заняты, им всегда было некогда и решали они, казалось бы, нужные задачи. Но мои задания тоже требовали исполнения. Я стал обзванивать пользователей и выяснять, что случилось и насколько срочно нужно устранить проблему. Выяснилось, что люди просто не хотят делать то, что нужно, ссылаясь на другие сложные и важные дела.
В такой ситуации можно было бы «затянуть гайки», применяя жесткие карательные меры. Но я решил дать людям шанс исправиться, так как в сущности они неплохие работники и квалифицированые специалисты, просто отвыкли от трудовой дисциплины. К тому же необдуманное «затягивание гаек» могло привести к увольнению ключевых специалистов. Мы, конечно, удержали бы ИТ-инфраструктуру предприятия «на плаву», но оставшимся сотрудникам ИТ-отдела пришлось бы тяжело. Кроме этого, нам пришлось бы отказаться от многих проектов по развитию уже существующей ИТ-инфраструктуры. Отдел ИТ вынужден был бы в течение нескольких месяцев заниматься обучением вновь принятых работников.
Однако без увольнений не обошлось. Один из специалистов уволился по собственному желанию, после того как был лишен премии за систематическое невыполнение плана работ. Выполняемые им задачи попали под мой пристальный контроль, сроки вновь назначаемых задач всегда согласовывались с ним. И, тем не менее, подавляющее большинство задач было провалено по срокам. Как правило, на вопрос, почему так произошло, следовал невразумительный ответ. Последовало наказание, а затем сотрудник уволился сам.
Больше подобных инцидентов не было, остальные специалисты нормально втянулись в продуктивный режим работы. Более того, появление системы Service Desk дало специалистам возможность объективно оценивать свой труд. Сейчас начальник отдела ИТ, выступая в роли управляющего менеджера службы поддержки, каждое утро проводит планерку в своем отделе и видит, что было сделано в течение предыдущего дня каждым сотрудником отдела ИТ, видит, что происходило, находится в курсе всех событий.
Расчет коэффициента трудового участия
Зарплата специалиста отдела ИТ формируется из постоянной (оклад) и переменной частей.
Оклад назначается исходя из следующих критериев: стоимость подобного специалиста на рынке труда, его коммуникативные навыки, знание специфики предприятия, опыт работы на предприятии. Другими словами, оклад характеризует квалификацию специалиста. В изложенной выше формуле квалификация i-го специалиста численно выражена отношением. si/S
Если сотрудник проработал долго и представляет интерес для предприятия, то его оклад может быть пересмотрен в сторону увеличения.
Переменная часть формируется следующим образом. Финансовая служба начисляет сумму в зависимости от показателя работы всего предприятия за отчетный месяц. Затем руководитель ИТ-отдела, сравнивая объем работ текущего месяца со среднемесячным объемом (по данным на конец истекшего финансового года), часть денег перемещает в «стабилизационный фонд» (или выводит из него).
Полученная таким образом переменная часть подлежит распределению между специалистами в зависимости от заработанных баллов. Постоянная часть выплачивается без изменений, так как начислена финансовой службой.
Специалисты теперь заинтересованы в том, чтобы выполненные ими заявки проходили через Service Desk, есть элемент соревнования, при этом в коллективе сохранился здоровый дух товарищества, когда все друг другу помогают. Организация службы поддержки поощряет это. Баллы за совместно выполненную заявку распределяются поровну между выполнившими ее специалистами.
Внедрение системы не вызвало большого сопротивления в отделе ИТ. Что касается финансового отдела, то недоумение экономистов исчезло, когда они увидели, что общий фонд зарплаты не изменился.
Результаты внедрения методики
Работа специалистов отдела ИТ (большая часть отдела задействована в службе поддержки) стала прозрачной, структурированной, управляемой. Руководство других подразделений, в частности отдела материально-технического снабжения, проявило интерес к нашей методике учета заявок (для них важен учет заявок от подразделений предприятия) и оценки труда специалистов.
Отдел ИТ не отслеживал скорость выполнения заявок до внедрения новой методики учета, поэтому оценить изменение скорости выполнения заявок мы не смогли, но, по оценкам сотрудников предприятия, ИТ-отдел стал работать лучше. Для руководства предприятия мнение пользователей — один из важных показателей.
Кроме того, теперь руководство компании получает ежемесячные отчеты о деятельности ИТ отдела и наглядно видит, чем заняты и где больше загружены его специалисты.
Юрий Николаев — начальник отдела ИТ ЗАО «РЭЛТЕК», yn@reltec.biz